Secara konsep, standar deviasi memanfaatkan rata-rata untuk mencari hasilnya.
Artikel ini membahas rumus-rumus standar deviasi Excel.
Unduh file berikut untuk melihat sumber screenshot di artikel ini.
File: standard-deviation-excel.xlsx.
Apa Itu Standar Deviasi?
Standar deviasi, atau juga disebut simpangan baku, adalah nilai statistik yang menunjukkan tingkat penyebaran data terhadap rata-rata data.
Standar deviasi mengukur seberapa dekat titik nilai individu dengan nilai rata-rata dari sampel atau populasi.
Semakin dekat standar deviasi dengan nol, semakin akurat rata-rata bersangkutan (karena berarti nilai-nilai di dalam rentang berada pada kisaran yang sama).
Standar deviasi yang menjauhi nol berarti ada fluktuasi nilai-nilai di dalam rentang relatif lebih tinggi.
Standar deviasi dipakai dalam bidang statistik untuk mengetahui simpangan dari seluruh populasi.
Penggunaan seperti ini disebut sebagai standar deviasi kelompok.
Menghitung data dari seluruh populasi kadang sulit dilakukan, apalagi bila cukup besar. Karenanya, umum bagi peneliti untuk memilih sampel data yang mewakili seluruh populasi.
Penggunaan seperti ini disebut sebagai standar deviasi sampel.
Standar Deviasi Sampel
Standar deviasi sampel adalah standar deviasi dengan data tertentu yang dipilih secara acak dari suatu populasi. Contoh: Curah hujan Jakarta Barat pada bulan-bulan tertentu selama tahun 2021 adalah 604.4, 244.1, 203.6, 79.1, 113.4, dan 134.1.
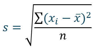
Secara manual, rumus standar deviasi sampel dinyatakan sebagai berikut:
Rumus

- s adalah standar deviasi atau simpangan baku.
- xi adalah nilai ke-i di dalam rentang data.
- x̅ adalah rata-rata dari semua nilai di dalam rentang.
- n adalah jumlah data.
Cara Menghitung Standar Deviasi Data Sampel
Untuk menghitung standar deviasi data sampel, pertama hitung rata-rata nilai terlebih dahulu.
x̅ = (604.4 + 244.1 + 203.6 + 79.1 + 113.4 + 134.1) / 6
x̅ = 229.78
Kedua, hitung penjumlahan dari setiap penyimpangan. Penyimpangan didapat dari pengurangan nilai terhadap rata-rata, lalu dikuadratkan.
Σ(x1 - x̅)2 = (604.4-229.78)2 + (244.1-229.78)2 + (203.6-229.78)2 + (79.1-229.78)2 + (113.4-229.78)2 + (134.1-229.78)2
Σ(x1- x̅)2 = 186634.03
Ketiga, cari variannya. Varian didapat dengan membagi total penyimpangan dengan jumlah nilai kurang satu, yaitu 6-1=5.
Σ(x1- x̅)2 / 5 = 186634.03/5
Σ(x1- x̅)2 / 5 = 37326.81
Terakhir, hitung akar kuadrat dari varian untuk mendapatkan standar deviasi.
s = √37326.81
s = 193.20
Dengan demikian, standar deviasi sampel curah hujan Jakarta Barat selama 2021 adalah 193.20.
Standar Deviasi Kelompok
Standar deviasi kelompok (standard deviation population) atau standar deviasi populasi adalah standar deviasi yang menggunakan data dari seluruh populasi, alih-alih sebagian seperti standar deviasi sampel.
Rumus standar deviasi kelompok adalah sebagai berikut:
Rumus

Cara Menggunakan Standar Deviasi Kelompok
Berikut adalah data curah hujan Jakarta Barat selama tahun 2021.
| Bulan | Curah Hujan (mm) |
|---|---|
| Januari | 332.8 |
| Februari | 604.4 |
| Maret | 244.1 |
| April | 213.9 |
| Mei | 203.6 |
| Juni | 79.1 |
| Juli | 35.8 |
| Agustus | 79.7 |
| September | 113.4 |
| Oktober | 182.1 |
| November | 134.1 |
| Desember | 171.6 |
Menghitung standar deviasi kelompok hampir sama dengan standar deviasi sampel.
Pertama, cari rata-rata nilai.
x̅ = (332.8 + 604.4 + 244.1 + 213.9 + 203.6 + 79.1 + 35.8 + 79.7 + 113.4 + 182.1 + 134.1 + 171.6) / 12
x̅ = 199.55
Kedua, hitung penjumlahan dari setiap penyimpangan.
Σ(x1- x̅)2 = (332.8-199.55)2 + (604.4-199.55)2 + (244.1-199.55)2 + (213.9-199.55)2 + (203.6-199.55)2 + (79.1-199.55)2 + (35.8-199.55)2 + (79.7-199.55)2 + (113.4-199.55)2 + (182.1-199.55)2 + (134.1-199.55)2 + (171.6-199.55)2
Σ(x1- x̅)2 = 252343.63
Ketiga, hitung varian.
Σ(x1 - x̅)2 / 12 = 252343.63/12
Σ(x1 - x̅)2 / 12 = 21028.64
Keempat, hitung akar kuadrat dari varian untuk mendapatkan standar deviasi.
s = √21028.64
s = 145.01
Fungsi-fungsi Standar Deviasi di Excel
Ada enam fungsi yang bisa digunakan sebagai rumus standar deviasi Excel, yaitu:
- Fungsi STDEV.
- Fungsi STDEVP.
- Fungsi STDEV.P
- Fungsi STDEV.S.
- Fungsi STDEVA.
- Fungsi STDEVPA.
Fungsi STDEV dan STDEVP adalah fungsi-fungsi jadul yang hanya didukung sampai Excel 2019.
Di Excel 365, keduanya masih bisa diakses demi kompatibilitas terhadap workbook yang dibuat dengan Excel versi terdahulu.
Jika teman-teman menggunakan Excel versi terkini, hindari penggunaan fungsi STDEV dan STDEVP karena Microsoft bisa menghilangkan keduanya sewaktu-waktu dari Excel.
Rumus STDEV Excel
Fungsi STDEV adalah fungsi untuk menghitung standar deviasi sampel.
Fungsi ini adalah fungsi jadul yang keberadaannya di Excel 365 hanya sebagai pendukung bagi workbook-workbook yang dibuat menggunakan Excel 2019 ke bawah.
Bagi pengguna Excel 365, kami sarankan menggunakan STDEV.S ketimbang fungsi STDEV.
Sintaks
STDEV(number1; [number2; …; number255])
- number1 (wajib) adalah angka pertama di dalam daftar.
- number2 sampai number255 (opsional) adalah angka-angka tambahan di dalam daftar.
Mengenai Rumus STDEV Excel
Beberapa hal mengenai fungsi STDEV sebelum kita menggunakannya di dalam rumus.
- STDEV bisa menerima angka, array, atau referensi cell.
- STDEV menerima nilai logika dan angka dalam format teks yang diketikkan langsung sebagai parameter.
- Bila parameter berupa array atau referensi cell, pastikan nilai-nilai di dalamnya adalah angka.
- Nilai-nilai non angka seperti teks (termasuk angka dalam format teks), nilai logika, dan cell kosong di dalam referensi cell atau array akan diabaikan.
- Parameter berupa pesan error akan menghasilkan erorr juga.
Cara Menggunakan Rumus STDEV Excel
Untuk memperlihatkan bagaimana menggunakan rumus STDEV Excel kami mengambil data nilai pada contoh standar deviasi tunggal di atas.
Rumus yang kita peroleh adalah:
=STDEV(604.4; 244.1; 203.6; 79.1; 113.4; 134.1)
Bila kita letakkan semua nilai di worksheet dan mengambil referensi cell sebagai parameter, maka rumus menjadi:
=STDEV(A2:A7)

Perhatikan bahwa hasil rumus adalah 193.20, sama dengan hitungan manualnya.
Rumus STDEV.S Excel
Fungsi STDEV.S adalah pembaharuan dari fungsi STDEV dan digunakan untuk menghitung standar deviasi sampel.
Bila memungkinkan, gunakan fungsi ini, alih-alih STDEV.
Fungsi ini juga memiliki karakter penggunaan yang sama dengan STDEV.
Sintaks
STDEV.S(number1; [number2; …; number255])
Fungsi STDEV.S menggunakan struktur sintaks yang sama dengan STDEV. Cara-cara penggunaannya pun sama dengan STDEV.
Mengacu pada data di Gambar 01, rumus STDEV.S berikut akan memberikan hasil yang sama.
=STDEV.S(A2:A13)

Rumus Standar Deviasi Excel: STDEVA
Fungsi STDEVA adalah fungsi untuk menghitung standar deviasi sampel.
Secara umum, cara menggunakan fungsi STDEVA sama dengan STDEV.
Perbedaan antara STDEVA dengan STDEV atau STDEV.S adalah STDEVA menerima angka dalam format teks dan nilai logika di dalam referensi cell.
Nilai logika TRUE akan diasumsikan bernilai 1, sementara FALSE diasumsikan 0.
Sintaks
STDEVA(value1; [value2; …; value255])
Berdasarkan data sampel curah hujan Jakarta Barat, maka rumus STDEVA menjadi:
=STDEVA(A2:A7)

Fungsi STDEVP Excel
Fungsi STDEVP Excel adalah fungsi untuk menghitung standar deviasi populasi di Excel.
Fungsi ini hanya didukung sampai Excel 2019.
Fungsi ini masih bisa digunakan di Excel 365 untuk mendukung kompatibilitas workbook-workbook yang dibuat dengan Excel 2019 ke bawah, tapi dibuka dengan Excel 365.
Sifat fungsi ini mirip dengan STDEV. Jadi, kami sarankan baca dulu sifat-sifatnya sebelum digunakan sebagai rumus.
Sintaks
STDEVP(number1; [number2; …; number255])
Dengan mengambil data curah hujan Jakarta Barat pada tahun 2021 dan menempatkan di worksheet, maka rumus STDEVP akan terlihat seperti di bawah ini.

Bandingkan dengan perhitungan secara manual.
Rumus STDEV.P Excel
Seperti STDEVP, fungsi STDEV.P Excel adalah fungsi untuk menghitung standar deviasi populasi di Excel.
Dalam konteks sebagai rumus standar deviasi Excel, penggunaan STDEV.P lebih disarankan ketimbang STDEVP, mengingat fungsi yang terakhir ini bisa hilang dari Excel sewaktu-waktu.
Sifat-sifat fungsi STDEV.P sama dengan fungsi STDEVP.
Sintaks
STDEV.P(number1; [number2; …; number255])
Cara menggunakan rumus STDEV.P adalah sama dengan STDEVP.
=STDEV.P(A2:A13)

Rumus Standar Deviasi Excel: STDEVPA
Fungsi STDEVPA adalah fungsi standar deviasi Excel untuk menghitung simpangan baku populasi.
Perbedaan fungsi ini dengan STDEVP atau STDEV.P adalah STDEVPA menghitung nilai logika dan nilai angka dalam format teks di dalam referensi cell.
Di dalam rumus STDEVPA, nilai logika TRUE akan dianggap sebagai 1 dan FALSE 0.
Sintaks
STDEVPA(number1; [number2; …; number255])
Seperti saudara-saudaranya, menggunakan fungsi STDEVPA sebagai rumus cukup dengan memasukkan nilai-nilai secara langsung sebagai parameter atau di dalam array atau referensi cell.
=STDEVPA(A2:A13)
